El Perú enfrenta dos trampas económicas persistentes: la trampa de la pobreza, que mantiene a millones de peruanos fuera del circuito productivo formal, y la trampa del ingreso medio, que impide que el país converja hacia los niveles de desarrollo de las economías avanzadas. Aunque suelen abordarse por separado —una como problema social y otra como problema macroeconómico—, en realidad forman un mismo cerrojo estructural. Ambas revelan el límite de las políticas fiscales tradicionales: no basta con estabilizar ni redistribuir, hay que transformar la estructura productiva.
Desde una perspectiva estructural, y combinando una versión dual del modelo de crecimiento de Solow-Swan con el enfoque experimental de Banerjee y Duflo, es posible describir la economía peruana como un sistema con dos funciones de producción coexistentes:
- un sector moderno, intensivo en capital y de alta productividad, y
- un sector tradicional, intensivo en trabajo e informalidad.
La baja productividad del sector tradicional actúa como freno estructural al crecimiento, reduciendo la capacidad de ahorro, inversión y movilidad social. Así, tanto los hogares pobres como los sectores más dinámicos quedan atrapados en equilibrios subóptimos, donde el crecimiento agregado se desacelera y el país se estanca a mitad del camino. Romper este doble cerrojo requiere convertir la inclusión social en política de productividad, capitalizando al sector pobre para elevar el crecimiento potencial. En las siguientes secciones examinamos cómo opera cada trampa —la de la pobreza y la del ingreso medio— y por qué ninguna puede superarse sin la otra.
La trampa de la pobreza: productividad insuficiente y ahorro imposible
Según Banerjee y Duflo, la trampa de la pobreza surge cuando individuos o sectores enteros producen tan poco que no logran generar el ahorro necesario para invertir y aumentar su capital de forma sostenida. La baja productividad impide acumular activos, perpetuando la escasez y bloqueando cualquier salida autosuficiente de la pobreza. Gráficamente, esta dinámica puede representarse con una curva en forma de S, donde los ingresos futuros dependen de los actuales. Los hogares situados en la parte baja de la curva, sin capacidad de ahorro ni inversión, ven cómo sus ingresos disminuyen progresivamente hasta estabilizarse en un equilibrio de pobreza (EQB). En cambio, quienes logran superar cierto umbral de capital productivo entran en un equilibrio de prosperidad (EQA), donde los ingresos crecen de manera acumulativa.
El desafío estructural para el Perú es trasladar a la población del primer equilibrio al segundo. Romper la trampa implica políticas que eleven la productividad, fomenten el ahorro y conviertan la inclusión social en una estrategia de inversión.

La trampa del ingreso medio: crecer sin transformarse
El Fondo Monetario Internacional (FMI) define la trampa del ingreso medio como la situación en la que un país, tras una fase de expansión acelerada, se estanca en un nivel intermedio de desarrollo y no logra converger hacia las economías avanzadas. En esta etapa, la productividad se desacelera, la innovación se agota y los sistemas educativos dejan de evolucionar al ritmo del cambio tecnológico. A esto se suman la alta desigualdad y la fragilidad institucional, que reducen la cohesión social y erosionan la confianza en el Estado. El resultado es una economía que crece sin transformarse: exporta materias primas, pero no conocimiento; amplía el consumo, pero no la inclusión; mantiene estabilidad macroeconómica, pero con un progreso superficial y vulnerable.
En el Perú, ambas trampas no actúan de manera separada, sino que se refuerzan mutuamente: la persistencia de la pobreza impide expandir el mercado interno, y el estancamiento macroeconómico limita las oportunidades de movilidad social. En la siguiente sección exploramos cómo esta interdependencia se explica a través del modelo dual de crecimiento.
La raíz del problema: una economía de dos velocidades
Las trampas de la pobreza y del ingreso medio no son fenómenos aislados: ambas surgen de una estructura económica dual, donde conviven un sector moderno que impulsa el crecimiento y un sector tradicional que lo frena. Esta dualidad explica por qué el Perú avanza sin transformar su base productiva y por qué el progreso tiende a concentrarse en pocos segmentos formales.
El modelo dual de Solow-Swan
El modelo clásico de crecimiento de Robert Solow vincula la expansión del producto (PBI) con la acumulación de capital (K), trabajo (L) y productividad total de factores (A). Sin embargo, su versión estándar asume que todos los agentes económicos se comportan de manera homogénea, lo cual no refleja la heterogeneidad estructural de economías como la peruana. Al introducir una versión dual del modelo —donde coexisten un sector moderno y uno tradicional— se revela la fuente del estancamiento.
- El sector moderno, intensivo en capital y tecnología, genera excedentes y empleo formal.
- El sector tradicional, intensivo en trabajo y marcado por la informalidad, opera con una baja productividad total de factores, incapaz de sostener ahorro, inversión ni acumulación de capital humano.
En el modelo Predice se emplean ecuaciones de producción de tipo Cobb-Douglas, que pueden expresarse de la siguiente manera:

donde Yi representa la producción (PBI), y α indica la proporción entre el capital (K) y el trabajo (L) en el sector “i”. La acumulación de capital en cada sector obedece a la ecuación de Solow:

donde si es la tasa de ahorro y δ la tasa de depreciación del capital en el sector “i”.
Para analizar el caso del Perú, donde los agentes económicos no son homogéneos, se requiere definir funciones de producción y de acumulación diferenciadas para los dos grandes sectores: el moderno y el tradicional. Con este fin, se plantean funciones tipo Cobb-Douglas con Productividad Total de los Factores (A) distinta para cada sector:
Sector moderno (M):

caracterizado por alta productividad, uso intensivo de capital, formalización y capacidad de ahorro e inversión.
Sector pobre (P):

de baja productividad, intensivo en trabajo, informal y con escasa capacidad de acumulación.
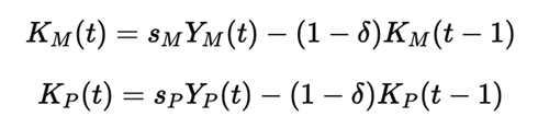
La dinámica de acumulación de capital para cada sector se describe mediante:

donde sM y sP son las tasas de ahorro por sector, y δ representa la depreciación del capital. En el sector pobre, la tasa de ahorro sP suele ser demasiado baja para alcanzar el umbral de capitalización que permitiría escapar de la trampa de pobreza.
El freno estructural del crecimiento
Esta brecha genera una economía de dos velocidades. El sector moderno empuja el PBI, pero su dinamismo se diluye al coexistir con un sector informal que absorbe la mayoría del empleo, pero aporta poco a la productividad. Los programas de alivio social redistribuyen parte de los excedentes del sector moderno, pero suelen ser asistencialistas o ineficientes, sin impacto duradero sobre la capacidad productiva del sector pobre.
El resultado es un equilibrio de bajo crecimiento: productividad promedio estancada, informalidad persistente y presión fiscal concentrada en los contribuyentes formales. Este equilibrio impide que el crecimiento se vuelva inclusivo y explica por qué el Perú, pese a décadas de estabilidad macroeconómica, no ha logrado transitar del crecimiento al desarrollo. La pregunta es, entonces, cómo transformar esta estructura dual para que el crecimiento sea sostenible e inclusivo. La respuesta surge al analizar la simulación del modelo PREDICE, que estima el impacto de elevar la productividad y el ahorro del sector pobre.
Simulación y políticas de salida: cómo romper el círculo del bajo crecimiento
El modelo PREDICE permite proyectar cómo la acumulación de capital y el aumento de la productividad pueden modificar la estructura dual de la economía peruana. La simulación analiza la evolución del capital per cápita y de la productividad total de factores (PTF) en los sectores moderno y pobre a lo largo de una década. El ejercicio parte de un supuesto clave: redirigir el gasto social hacia inversión productiva. Esto implica canalizar una fracción del producto del sector moderno hacia el sector pobre, proporcional a su peso poblacional, mediante una relocalización de programas asistencialistas y un uso más eficiente del Canon minero. En lugar de transferencias de consumo, se priorizan inversiones en capital físico y humano.
A ello se suma una política de inclusión financiera que incentive el ahorro: tasas de interés competitivas para pequeños ahorristas, acceso masivo a billeteras electrónicas y mecanismos de formalización financiera en zonas rurales. La combinación de mayor ahorro y gasto social productivo eleva la PTF del sector pobre, impulsando el crecimiento agregado. Los resultados del modelo son contundentes: si la productividad del sector pobre alcanza la mitad de la del sector moderno y su tasa de ahorro llega a las tres cuartas partes de la del sector moderno en un periodo de diez años, el PBI total se duplicaría. El crecimiento dejaría de depender de los enclaves modernos y pasaría a estar liderado por la expansión del sector pobre.

Implicancias para la política fiscal
El modelo revela un punto crucial: elevar la productividad y el ahorro del sector pobre genera un efecto multiplicador mucho mayor que las mejoras marginales en el sector moderno. Por eso, las políticas públicas deben enfocarse en inclusión productiva, no en asistencia.
Las prioridades son claras:
- Incluir financieramente a los hogares y productores rurales, fomentando el ahorro y el crédito formal.
- Formalizar la producción y promover la educación técnica en sectores de baja productividad.
Reasignar el gasto social, sustituyendo subsidios de consumo por inversión en capital humano y físico.
Una política fiscal progresiva debería, además, aumentar el ahorro público y dirigirlo hacia sectores con mayor multiplicador de productividad —particularmente la agricultura familiar y los pequeños emprendimientos rurales—, donde el retorno social de la inversión es más alto.
Capitalizar al sector pobre
La nueva política social debe centrarse en transferencias de capital, no solo monetarias. En el plano físico, esto significa dotar a los productores de infraestructura productiva —equipos de riego, tractores o centros de acopio—. En el plano humano, implica programas de extensión agrícola y capacitación técnica que optimicen el uso de insumos y tecnologías. Estas medidas sustituyen temporalmente la falta de ahorro, permitiendo que los hogares aumenten su productividad hasta alcanzar autonomía financiera. La inclusión financiera, a su vez, convierte ese progreso en inversión formal, cerrando el círculo virtuoso de crecimiento.
De esta forma, el gasto social deja de ser un gasto corriente y se transforma en una inversión en productividad, elevando de manera sostenida la PTF del sector pobre y rompiendo simultáneamente las trampas de la pobreza y del ingreso medio. Superar este doble bloqueo requiere más que programas y transferencias: demanda una visión de Estado que vincule inclusión, productividad y sostenibilidad fiscal. La conclusión final sintetiza esa ruta.
Conclusión: hacia una estrategia de inclusión productiva
Las trampas de la pobreza y del ingreso medio son dos caras de una misma estructura dual de crecimiento. Una limita la acumulación de capital en los hogares más pobres; la otra impide que el país transforme su base productiva. Juntas conforman el doble cerrojo del desarrollo peruano. Romper ese cerrojo exige una estrategia que combine inclusión productiva, reforma fiscal y fortalecimiento institucional. La política social debe dejar de concebirse como gasto y asumirse como inversión en productividad: un mecanismo para elevar la capacidad de ahorro, innovación y competitividad de los sectores que hoy sostienen la economía desde la informalidad.
El desafío es simultáneamente técnico y político: redirigir el gasto público, modernizar la política fiscal y convertir la equidad en una fuerza de crecimiento. Solo así la inclusión dejará de ser un ideal distributivo para convertirse en una estrategia de desarrollo nacional. La campaña electoral que se avecina debería ser el espacio donde estas ideas se discutan con evidencia y visión de futuro. El verdadero debate no es si el Perú puede crecer, sino si está dispuesto a hacerlo de manera inclusiva, productiva y sostenible.


