Los estados de emergencia se vienen utilizando desde 2023 de manera recurrente para enfrentar la ola de criminalidad en Lima y Callao. La intervención incrementa temporalmente la presencia policial y militar, traslada recursos presupuestarios hacia operativos de seguridad y genera alivios inmediatos en la percepción de seguridad. Sin embargo, los indicadores de criminalidad retornan a niveles previos tras la finalización de las medidas. La evidencia local muestra patrones de efecto transitorio, desplazamiento espacial del delito y costos directos e indirectos significativos para la economía y la gobernanza.
Antecedentes: la ilusión del control
Desde 2023, Lima Metropolitana y el Callao han vivido bajo un clima de excepción casi permanente. Los decretos supremos —035-2025-PCM, 083-2025-PCM, 124-2025-PCM y otros— se suceden con la misma frecuencia con la que se cambian ministros del Interior. Cada anuncio promete “recuperar el orden”, “vencer al crimen” y “devolver la tranquilidad a los ciudadanos”. Sin embargo, lo que devuelve la experiencia no es tranquilidad, sino fatiga. La emergencia se ha convertido en rutina.
La primera ola cubrió doce distritos; la segunda, catorce; y para 2025, la medida alcanzó a toda la capital. Los argumentos son los mismos: combatir el sicariato, la extorsión y el crimen organizado. Pero los resultados, igual de previsibles, son apenas visibles en los datos.
El despliegue policial y militar es masivo, visible y mediático. Durante las primeras semanas, los delitos caen modestamente. Las cámaras captan operativos, las calles se llenan de uniformes, los alcaldes posan en retenes. Pero tras la efervescencia, las cifras vuelven a su cauce. El delito regresa, adaptado, desplazado o simplemente más discreto. La emergencia, como un analgésico potente, alivia el dolor sin curar la enfermedad.
En el pasado, el Ministerio del Interior reportó caídas iniciales promedio de entre 10% a 15% en denuncias de extorsión durante los primeros 30 días de la aplicación del régimen. Sin embargo, estudios del Centro de Investigaciones Económicas y Sociales (CIES) muestran que, tres meses después, las cifras retornan a los niveles previos. En paralelo, los costos fiscales crecen.
Un parche caro para un problema estructural
Las autoridades recurren a estos regímenes excepcionales como una solución a la urgencia política y al cálculo operativo. El efecto, sin embargo, fue casi siempre el mismo: alivio temporal, titulares favorables y luego una factura fiscal que pesa en el presupuesto a futuro. Desde la perspectiva de la economía pública, resulta pertinente preguntarse si esa factura está comprando seguridad verdadera o simplemente postergando la cuenta.
La figura del “Estado de Emergencia” eleva la visibilidad del Estado. Más policías en las calles, controles más frecuentes, patrullajes y operativos mediáticos transmiten la sensación de control. No es un detalle menor: la percepción importa para el consumo, la inversión y la normalidad urbana.
Pero el problema es el costo de esa contención. Los recursos movilizados —operativos, combustible, horas extraordinarias, logística— se traducen en gasto corriente que compite con inversiones en inteligencia, justicia y programas de inclusión laboral.
El costo del miedo
MAXIMIXE estima que entre 2023 y 2025, el Estado habría comprometido aproximadamente S/ 6.800 millones en programas extraordinarios de seguridad relacionados con estados de emergencia, incluyendo logística, patrullaje, equipamiento y horas extras, ademásn de los gastos realizados por el sector privado. Esta cifra se deriva de la siguiente metodología de cálculo:
- Según datos del Ministerio de Economía y Finanzas (MEF), el costo anual de la inseguridad ciudadana para el país asciende a S/ 19.800 millones. Considerando que Lima-Callao concentra aproximadamente el 20% del impacto nacional debido a su densidad poblacional y niveles de criminalidad urbana, las pérdidas atribuibles a esta región se estiman en S/ 3.960 millones anuales.
- Bajo el supuesto de que cada declaratoria de «Estado de Emergencia» moviliza recursos extraordinarios equivalentes al 50% de dichas pérdidas anuales para lograr una contención efectiva, el gasto extraordinario por año sería de aproximadamente S/ 1.980 millones.
- Durante el período 2023-2025, se decretaron seis estados de emergencia en tres años, esto representa S/ 5.940 millones. Al incorporar sobrecostos logísticos, administrativos, gastos de militarización y costos de oportunidad perdidos, la cifra total estimada alcanza los S/ 6.800 millones.
El marco teórico para el análisis: la economía del crimen
Gary Becker, Premio Nobel en 1992, propuso en 1968 un marco racional para entender el crimen. Becker argumentó que el delincuente actúa como un agente económico: decide delinquir si el beneficio esperado supera la probabilidad ponderada de castigo. En otras palabras, el crimen florece cuando es rentable.
Un «Estado de Emergencia» altera temporalmente esa ecuación. Incrementa el costo esperado del delito —más policías, más arrestos, más controles—, pero no cambia los factores estructurales: la probabilidad real de sanción sigue siendo baja, la impunidad alta, y las oportunidades de ingreso legal, escasas.
El delincuente racional, entonces, espera. La emergencia pasa, la vigilancia se relaja, y el riesgo vuelve a niveles aceptables. La economía del crimen recupera su equilibrio natural, y el efecto disuasivo desaparece. El Estado, mientras tanto, sigue gastando.
Eso es exactamente lo que ha ocurrido en varios episodios recientes en Lima y Callao. Las cifras oficiales mostraron descensos iniciales en delitos seleccionados durante las primeras semanas del régimen; los índices, no obstante, volvieron rápidamente a su trayectoria previa. La lección es elemental, aunque políticamente incómoda: las medidas tácticas sirven para contener crisis momentáneas, no para revertir dinámicas estructurales de criminalidad.
Gastar mucho en contención sin reservar una porción significativa para capacidades permanentes equivale a sustituir inversión por consumo público. Es una opción legítima si la meta es restaurar el orden en el corto plazo; deja de serlo cuando se presenta como solución definitiva.
Además, la contención masiva tiene efectos secundarios económicos. Las empresas incrementan presupuestos en seguridad privada, retrasan decisiones de ubicación y moderan planes de expansión ante la incertidumbre.
El gasto privado en medidas de autoprotección y la pérdida de productividad por interrupciones operativas afectan especialmente a micro y pequeñas empresas, que tienen menor capacidad de absorber shocks.
Peor aún, cuando la contención es heterogénea en el espacio, el delito tiende a desplazarse: la intervención en una jurisdicción concentra la presión criminal hacia áreas con menor vigilancia, externalizando el problema y elevando el costo agregado para el conjunto metropolitano.
La otra dimensión es institucional. La militarización parcial de funciones civiles, si se extiende en el tiempo, erosiona la confianza en el Estado de derecho y genera tensiones con organizaciones de derechos humanos.
Ese costo reputacional tiene efecto real sobre la prima de riesgo percibida por inversionistas y sobre la calidad de la gobernanza. La seguridad que se construye socavando la legitimidad de las instituciones no es sostenible: a la larga, reduce la capacidad del Estado para coordinar políticas complejas y mantener pactos sociales básicos.
¿Cómo medir el costo/beneficio del “Estado de Emergencia”?
En términos fiscales, un «Estado de Emergencia» es una política de choque: exige alto gasto inicial con rendimientos decrecientes. Si el retorno social de ese gasto no se mantiene en el tiempo, la política se convierte en una inversión negativa.
El marco teórico de la economía del crimen propuesto por Becker, parte de la interpretación de la decisión de delinquir mediante la siguiente desigualdad:

Donde:
- E[B] es el beneficio monetario esperado del delito;
- p es la probabilidad efectiva (percibida) de detección y captura;
- C es el costo esperado de la sanción;
- O es el costo de oportunidad (ingreso alternativo legal).
Los estados de emergencia afectan fundamentalmente «p» ya que el aumento de la presencia policial influye directamente sobre la probabilidad percibida de detección y captura. En contraste, si no se realizan intervenciones paralelas, su influencia sobre «O» (empleo) y «C» (capacidad de sentencia) es practicamente nula. La política racional derivada de Becker sugiere que las medidas más eficaces son aquellas que alteran de manera sostenible «p» , «O» u «C».
Si los estados de emergencia solo aumentan «p» de forma temporal, su efecto será transitorio. A menos que se apliquen de manera adecuada. En ese sentido, desde la perspectiva del Estado, la regla operativa para decidir si aplicar el “Estado de Emergencia” es económicamente aceptable para el bienestar social involucra dos cantidades en valor presente y un parámetro:
- PV_BS(θ): valor presente de los beneficios (delitos evitados monetizados), que está en función de la persistencia (determinada por el parámetro θ).
- PV_CT: valor presente del costo de la intervención (gasto extraordinario y costos intangibles públicos y privados).
- θ: Persistencia del efecto (% del beneficio inicial que se mantiene cada año).
Entonces, declarar «Estado de Emergencia» es justificable si:

La pieza clave del análisis es la variable θ (theta) porque representa la persistencia del efecto de aplicar el “Estado de Emergencia”, es decir, la parte del impacto inicial que se mantiene con el paso del tiempo. En palabras sencillas, cuando la aplicación de esta medida logra reducir el delito, θ indica qué porcentaje de esa reducción “sobrevive” año tras año. Si θ es alta, significa que el efecto se sostiene —que la delincuencia sigue baja incluso después de meses o años—. Si θ es baja, el efecto se desvanece rápidamente y el crimen vuelve a su nivel anterior tan pronto como termina la intervención.
Por ejemplo, un θ de 0.9 (o 90%) implica que cada año se conserva el 90% del progreso logrado. Si al inicio se redujeron 100 casos de delito, al segundo año quedarían 90, al tercero 81 y así sucesivamente. En cambio, si θ es de 0.5, el efecto se reduce a la mitad cada año: lo que se ganó se pierde rápidamente.
En términos económicos, θ mide la durabilidad del beneficio y define si un gasto público en seguridad vale la pena. Una medida aplicada con baja persistencia es como apagar un incendio con gasolina: produce un alivio inmediato, pero sin bases sólidas para que el cambio perdure. Por eso, elevar θ es la única forma de transformar un estado de emergencia de un parche temporal en una política realmente sostenible.
MAXIMIXE ha estimado que el valor presente de la aplicación de la medida de «Estado de Emergencia» solo resulta eficiente si el efecto de reducción del crimen persiste en al menos 89.3% por año —un nivel irreal para una política de carácter temporal. A menor persistencia, el valor actual neto (VAN) se hunde en terreno negativo.
Este resultado se construye incorporando las siguientes variables:
- Go : gasto extraordinario inicial (S/).
- ΔDo : reducción inicial atribuible (en S/, la reducción de delitos convertida a valor monetario).
- ρ : fracción del efecto que se desplaza a otras jurisdicciones (0–1).
- θ : persistencia anual (0–1).
- r : tasa de descuento social anual (decimal).
- T : horizonte de análisis (años).
- ϕ : fracción adicional que captura costos institucionales intangibles sobre sobre el gasto extraordinario inicial.
Y resolviendo el problema mediante la siguiente estructura matemática:
Beneficio anual: Representa la reducción del delito en el año t, ajustada por el desplazamiento criminal (ρ) y la persistencia del efecto (θ). Lo que quiere decir que cada año se conserva solo una parte del efecto inicial, y parte del delito se traslada a otras zonas:

Valor presente de beneficios: El valor presente de los beneficios acumulados durante el horizonte T se obtiene sumando los beneficios anuales descontados a la tasa r:

Esta expresión permite calcular el impacto total de la política en valor actual, considerando tanto la duración del efecto (θ) como el desplazamiento y la tasa de descuento. O en otras palabras, esta fórmula resume en números una pregunta simple: ¿el esfuerzo en seguridad deja beneficios que perduran, o se esfuman con el tiempo?
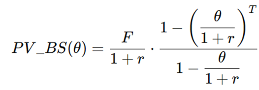
Si se define al numerador F=ΔDo θt-1(1-ρ), y si θ/(1+r)≠1 la serie de beneficios esperados puede expresarse en la siguiente fórmula compacta:

Valor presente del costo (gasto inicial único): El gasto de un «Estado de Emergencia» no solo se limita al presupuesto asignado. También incluye sobrecostos logísticos y administrativos que acompañan toda gran operación pública. Por eso, el valor económico real del programa se expresa como:

donde Go representa el gasto directo inicial y ϕ los costos adicionales asociados. Esta fórmula permite calcular cuánto cuesta realmente la medida en términos actuales.
Resolución y punto de equilibrio: Al resolver numéricamente el modelo, se obtiene un valor de persistencia θ* que marca el equilibrio entre los beneficios y los costos del «Estado de Emergencia»:

Los datos que evidencian los resultados
Calibramos la realidad del régimen de «Estado de Emergencia» con los siguientes parámetros estimados:
- Go = un gasto extraordinario de S/ 6,800 millones estimado por MAXIMIXE.
- Costo agregado de la inseguridad (Sagg) = S/ 19,800 millones (para derivar ΔDo) estimado por MEF.
- ΔDo = 0.10 x Sagg = S/ 1,980 millones (supuesto: reducción equivalente al 10% del costo agregado de la inseguridad).
- ρ = 30% de desplazamiento a otras jurisdicciones (CEPAL considera que en ciudades latinoamericanas está entre 25-40%).
- r = 6% anual, estándar para evaluaciones públicas según MEF.
- T = 10 años.
- ϕ = 0 (por simplicidad; puede introducirse como 0.05–0.2 en sensibilidad).
Bajo estos datos del período 2023-2025, obtenemos lo que mencionamos previamente: el umbral mínimo sobre el que debe actuar un “Estado de Emergencia” está ligado a un nivel de persistencia θ del 89.3%, como se puede observar en la siguiente tabla:

¿Qué significa que la “persistencia” sea de 89.3% y por qué es importante?
Una persistencia del 89.3% es el punto mínimo de equilibrio, el nivel necesario para que los beneficios del “Estado de Emergencia” (en delitos evitados y bienestar ciudadano) igualen su costo fiscal (S/ 6,800 millones). Dicho de otro modo, si el efecto real es menor, el país termina gastando más dinero del que recupera en seguridad y productividad. Por el contrario, si se logra mantener o superar esa cifra, el gasto público empieza a rendir frutos sociales duraderos.
En Lima y Callao, los resultados observados tras seis estados de emergencia consecutivos apuntan a una persistencia del efecto entre 40% y 60%. Esto significa que los beneficios iniciales actualmente se están diluyendo en menos de un año. Lo que resulta que con los actuales parámetros de aplicación de la medida, no se están cumpliendo los objetivos y el resultado es deficiente para combatir el crimen.
Reportes del Ministerio del Interior y medios especializados confirman esta tendencia: a pesar de los despliegues policiales y militares, los homicidios en distritos intervenidos aumentaron cerca de 30% entre 2023 y 2024. Además, solo 1.4% de las detenciones durante el régimen correspondieron a delitos graves como homicidio, secuestro o extorsión.
Esto no significa que el 89% sea una meta universal. Es un valor que depende de varios factores: cuánto se gasta, cuánto baja realmente el delito, qué tanto se desplaza la criminalidad a otras zonas y qué tan bien se sostiene la reducción en el tiempo. Pero sirve como una señal de alerta: cuando el impacto de los operativos se disuelve más rápido que ese ritmo, el esfuerzo pierde eficiencia.
¿Qué hacer para que la “persistencia” sea alta y funcione el “Estado de Emergencia”?
Para que la mejora no sea solo momentánea, el Estado necesita atacar las causas y no solo los síntomas. Es decir:
- Promover empleo y educación. El delito también tiene una raíz económica. Quien no tiene oportunidades de trabajo o educación puede ver en el crimen una salida fácil. Crear empleo formal y programas de capacitación para jóvenes en riesgo no solo mejora la economía familiar, sino que quita terreno a las organizaciones delictivas. Un joven con empleo y futuro piensa dos veces antes de arriesgarse a perderlo cometiendo un delito. La educación, la inserción laboral y el apoyo al emprendimiento son tan importantes para la seguridad como los patrullajes y las detenciones.
- Fortalecer la investigación criminal y la justicia. La seguridad no mejora solo con más policías en las calles. Se necesita que cada detención termine en una condena efectiva. Cuando los criminales ven que pueden ser capturados y liberados poco después, el mensaje es que el delito “sale barato”. Fortalecer la investigación criminal significa mejorar la capacidad de la Policía y del Ministerio Público para reunir pruebas sólidas, usar tecnología moderna y acelerar los procesos judiciales. Si el castigo es rápido y seguro, se reduce el incentivo para delinquir y la seguridad se vuelve duradera.
- Coordinar acciones entre gobiernos locales. Cuando la policía se concentra en un distrito, muchas veces los delincuentes simplemente se trasladan a otro. Por eso, las estrategias deben ser coordinadas a nivel metropolitano. Compartir información entre distritos, planificar operativos conjuntos y mantener comunicación entre alcaldes y comisarías evita que el problema solo cambie de dirección. La seguridad es un esfuerzo colectivo: si cada distrito trabaja por separado, la ciudad pierde en conjunto.
En conclusión…
La moraleja no es nueva, pero sí urgente: la seguridad es un bien público que requiere inversión estructural, no simplemente dispositivos tácticos. Por lo general los parches funcionan, pero se desgastan. Si el objetivo es transformar contención en seguridad, el Gobierno debe empezar a priorizar lo que permanece por encima de lo que impresiona.
Lo que planteamos no rechaza per se la medida de contención operativa, hay momentos en que es necesaria, lo que proponemos es un reequilibrio. Un marco eficaz que combine tres elementos: (i) despliegues tácticos focalizados y evaluables, (ii) inversión sostenida en capacidades que aumenten la probabilidad efectiva de sanción (inteligencia, forense, reformas procesales), y (iii) programas de oferta laboral formal y capacitación para jóvenes en riesgo que eleven el costo de oportunidad de delinquir. Solo esa mezcla altera de manera permanente la ecuación de incentivos que sustenta el delito.
En términos prácticos, una regla prudente para el decisor público es condicionar desembolsos extraordinarios a resultados verificables: reducciones sostenibles delictivas con evaluación ex-post, y la obligación de destinar un porcentaje del gasto operativo a capacidades permanentes. De lo contrario, la política se convertirá en un bucle de gasto anual que compra tranquilidad temporal y empeora, con el tiempo, la posición fiscal y la credibilidad institucional.
Referencias bibliográficas
Becker, G. S. (1968). Crime and Punishment: An Economic Approach. Journal of Political Economy, 76(2), 169-217. https://doi.org/10.1086/259394
World Bank. (2023). Crimen, violencia y desarrollo en América Latina: Diagnóstico y desafíos de política. Washington, D.C.
CIES. (2022). Costos económicos y sociales de la inseguridad ciudadana en el Perú. Consorcio de Investigación Económica y Social.
Ministerio de Economía y Finanzas del Perú. (2025). Informe de gasto público en seguridad ciudadana 2023-2026. Dirección General de Política de Gastos.


