La reciente reforma griega que permite esquemas laborales de hasta trece horas diarias reintrodujo un dilema clásico sobre el vínculo entre tiempo de trabajo y crecimiento. En Grecia, esta flexibilización se inserta en un entorno institucional robusto, caracterizado por fiscalización efectiva, negociación colectiva activa, protección laboral estable y salarios por hora dentro del promedio europeo. Es un sistema donde el sobretiempo opera bajo límites definidos, compensación obligatoria y supervisión estatal real.
El Perú se ubica en el extremo opuesto. Gran parte de la fuerza laboral ya opera por encima de las sesenta horas semanales; la inspección laboral tiene una cobertura débil; los salarios por hora permanecen comprimidos; y la informalidad, que bordea el 73%, convierte la extensión de la jornada en una norma de supervivencia más que en una decisión productiva. En este contexto, la pregunta relevante no debe ser si se puede trabajar más, sino si al hacerlo se crea valor económico adicional.
1. Evidencia empírica en el Perú: muchas horas, poco ingreso
La trayectoria laboral peruana ofrece un patrón consistente: aumentar las horas trabajadas no produce incrementos sostenidos ni en ingresos reales ni en productividad. La evidencia histórica y reciente converge en un diagnóstico sólido: el país opera jornadas extensas como mecanismo de compensación ante salarios deprimidos, no como resultado de un aparato productivo dinámico.
El estudio de Yamada (2005) mostró que entre 1985 y 2000 las horas trabajadas en Lima Metropolitana crecieron aproximadamente 10%, mientras el salario real por hora se redujo cerca de 50%. La ampliación del esfuerzo laboral coincidió con una reducción marcada del poder adquisitivo y con una ausencia total de incrementos en la productividad por hora. Este hallazgo ilustra la condición típica de economías con mercados laborales poco estructurados, donde el salario real cae más rápido que la capacidad de ajuste del consumo, y donde la única variable flexible del trabajador es el tiempo de trabajo.
Los datos más recientes confirman la persistencia del patrón. De acuerdo con la ENAHO 2024, el 28% de los trabajadores urbanos supera las sesenta horas semanales. Entre independientes informales, los niveles son aún más elevados. Estas jornadas no reflejan mejoras tecnológicas ni sofisticación productiva; documentan un uso defensivo de la fuerza laboral, en el sentido de que el trabajador amplía horas para neutralizar la erosión de su ingreso, no para capturar oportunidades de productividad incremental.
Evolución histórica de horas trabajadas y salarios reales (Lima Metropolitana)
| Año | Horas semanales promedio | Salario real en S/ por hora (índice 1985 = 100) |
| 1985 | 50.3 | 100 |
| 1990 | 52.8 | 62 |
| 1995 | 53.7 | 58 |
| 2000 | 54.8 | 51 |
Fuente: INEI, Yamada (2005)
El patrón es inequívoco: más horas, menos salario real por hora. Entre 1985 y 2000 no se generó bienestar adicional ni mejoras sostenidas de productividad. El mercado laboral absorbió el deterioro del ingreso forzando la expansión del tiempo trabajado, consolidando un equilibrio de baja eficiencia. El resultado fue crecimiento aparente del esfuerzo laboral, pero estancamiento persistente de la capacidad productiva.
2. ¿Por qué el país trabaja más pero no crece más?
La paradoja central ya es evidente: el Perú trabaja más horas que el estándar legal y más horas que una parte significativa de economías comparables, pero no genera ingresos reales crecientes ni productividad sostenible. Resolver esta paradoja requiere entender los dos mecanismos que la sustentan: (i) el mecanismo microeconómico (la reacción del hogar frente al deterioro del salario real); y, (ii) el mecanismo macroeconómico (las políticas que consolidaron un modelo basado en la acumulación de factores y no en la eficiencia).
2.1. Mecanismo microeconómico: más horas como defensa ante salarios reales deprimidos
El hallazgo central del estudio de Yamada (2005) no se limita a la constatación de que los salarios reales cayeron mientras las horas aumentaban; revela un comportamiento estructural del trabajador peruano frente a un mercado laboral adverso. Cuando el ingreso por hora pierde poder adquisitivo, el hogar no puede ajustar su consumo básico a la baja sin comprometer su subsistencia. Como habíamos dicho, la única variable disponible para estabilizar el ingreso es el tiempo de trabajo.
La informalidad, los bajos salarios por hora y la escasa protección social refuerzan ese mecanismo. El trabajador carece de alternativas reales, no tiene acceso a incrementos de productividad, no recibe capacitación financiada por el empleador, enfrenta rotación elevada y opera sin cobertura de negociación colectiva. En ese entorno, la extensión de la jornada expresa un mecanismo de supervivencia económica que erosiona la eficiencia global del sistema.
Este comportamiento también refleja limitaciones de capital humano y de tecnología en la estructura productiva. El trabajador no puede compensar el deterioro del salario real mediante productividad incremental porque la economía no le ofrece herramientas para lograrlo. En consecuencia, sustituye productividad por horas. Este sustituto genera un efecto inmediato sobre el ingreso nominal, pero no altera la tendencia decreciente del ingreso real ni la baja productividad por hora.
2.2. Mecanismo macroeconómico: políticas de Estado basadas en acumular factores, no en generar eficiencia
El patrón laboral peruano no es una elección individual. Es el efecto de un diseño de política pública que, durante décadas, ha trasladado al trabajador la responsabilidad de sostener su ingreso ampliando horas. La evidencia acumulada del Banco Mundial, el BID y la Penn World Table muestra que entre 1950 y 2020 alrededor del 70% del crecimiento peruano provino de la expansión del capital físico, del número de trabajadores y de las horas trabajadas, mientras la productividad total de factores (PTF) registró un aporte modesto y en algunos periodos prácticamente nulo.
Descomposición del crecimiento del Perú (1950–2020)
| Componente | Contribución estimada al crecimiento |
| Crecimiento del empleo | 35%–40% |
| Crecimiento de horas trabajadas | 10%–15% |
| Acumulación de capital físico | 30%–40% |
| Productividad total de factores | 10%–15% |
Fuente: Banco Mundial; Penn World Table; BID.
El patrón se consolidó a partir de tres líneas de acción estructurales que han guiado las decisiones de Estado:
a. Política de capital: expansión extractiva sin articulación productiva
Desde los años noventa, la estrategia de crecimiento se basó en atraer grandes inversiones físicas, especialmente en minería. Aunque este proceso elevó el stock de capital y generó ritmos de expansión altos en sectores puntuales, no creó encadenamientos significativos. La inversión minera no indujo transferencia tecnológica ni innovación sistémica, limitando la capacidad del resto de la economía para aumentar su productividad. El país incrementó capital, pero no sofisticación productiva.
b. Política laboral: absorción masiva de trabajadores sin mejoras de capacidades
El bono demográfico y la migración venezolana ampliaron la oferta laboral. Sin embargo, la política pública careció de una estrategia integral de formación técnica, reconversión laboral o certificación de competencias. El resultado fue la incorporación masiva de trabajadores en ocupaciones de baja complejidad y bajos retornos. El Estado promovió regímenes laborales especiales, menores costos laborales y normativas de flexibilidad sin exigir mejoras de productividad empresarial. La fuerza laboral creció, pero no su productividad.
c. Política institucional: flexibilidad sin fiscalización como mecanismo de ajuste
El diseño normativo privilegió la flexibilidad laboral como vehículo para dinamizar el empleo. Sin fiscalización suficiente, la flexibilidad se convirtió en precariedad. El tiempo de trabajo se transformó en la variable de ajuste central frente a la caída del salario real. La supervisión limitada permitió que jornadas extensas se normalicen en todos los segmentos del mercado laboral. La ampliación de horas reemplazó la necesidad de innovar, invertir en capital humano o mejorar procesos productivos.
Este conjunto de políticas consolidó un modelo de crecimiento extensivo: más capital físico, más trabajadores y más horas; pero sin mejoras sustantivas en productividad total de factores. Con los años, el modelo perdió dinamismo natural. La población en edad de trabajar dejó de expandirse al ritmo previo; las horas ya alcanzan niveles elevados y fisiológicamente insostenibles; y la inversión minera no articula incrementos estructurales de eficiencia en el resto de la economía.
3. Explicación técnica: función de producción, elasticidades y por qué extender horas no genera crecimiento
En el Anexo desarrollamos un ejercicio técnico que combina un modelo macroeconómico de crecimiento (Cobb–Douglas) y un modelo microeconómico de oferta de horas para evaluar qué ocurriría si el Perú intentara aplicar un esquema de jornadas extendidas similar al aprobado en Grecia.
El ejercicio parte de reconocer que, en el Perú, el crecimiento ha dependido históricamente de la acumulación de factores (capital, número de trabajadores y horas trabajadas) y no de incrementos de productividad. En ese marco, las horas promedio ya se encuentran tensionadas y su aporte marginal al PBI es muy limitado, porque la PTF se mantiene estancada.
Calibramos un modelo microfundado para un trabajador urbano de bajos ingresos, considerando salarios reales por hora reducidos, consumo cercano a la subsistencia y un costo creciente del esfuerzo laboral. Bajo estos parámetros, el modelo reproduce de forma coherente jornadas observadas de 50–55 horas semanales sin necesidad de imponerlas por decreto.
Cuando se fuerza un salto hasta 65 horas semanales, el análogo del “modelo griego”, el ingreso sube inicialmente, pero la fatiga y los costos no monetarios empujan a corregir las horas hacia un nivel sostenible apenas mayor a la inicial. El efecto neto sobre horas efectivas es reducido, y la productividad por hora se deteriora por sobrecarga, errores y rotación laboral.
Al combinar este deterioro con la identidad macroeconómica PBI = horas trabajadas × valor agregado de cada hora trabajada, se obtiene que un aumento de 20% en horas podría reducir la productividad por hora entre 10% y 20%. Bajo estos rangos, el PBI total permanecería estancado o caería ligeramente, aun cuando las horas declaradas aumenten. La simulación concluye que la ampliación de jornadas en una economía informal, de bajos salarios y con instituciones débiles como la peruana no genera crecimiento adicional y puede agravar un equilibrio de baja eficiencia. El desarrollo completo, con modelos, parámetros y tablas de calibración, se presenta en el Anexo.
4. Escenario político 2026: ¿productividad o más acumulación de factores?
El ciclo electoral de 2026 reabre el debate sobre la estrategia de crecimiento que seguirá el país. A partir de discursos públicos, documentos preliminares y propuestas programáticas parciales, se identifican tres orientaciones predominantes. El contraste entre ellas es relevante porque revela si el país proyecta una transición hacia un modelo basado en eficiencia o si mantiene la inercia del patrón extensivo que ya mostró sus límites estructurales.
4.1. Flexibilización laboral clásica: reproducir el modelo de más horas, más rotación y menor protección
Una proporción considerable de discursos apunta a intensificar la flexibilidad laboral, ampliando regímenes temporales, reduciendo costos de despido, autorizando jornadas extendidas y permitiendo esquemas de trabajo más largos con baja supervisión. Esta narrativa está orientada a dinamizar empleo en el corto plazo mediante mecanismos de ajuste que ya operan en la economía: aumentar horas trabajadas y reducir costos laborales unitarios.
El riesgo es conocido. Al no incorporar mejoras de productividad, capacitación ni inversión en tecnología, estas propuestas refuerzan exactamente el mecanismo que mantiene estancado el ingreso real por hora. El país genera más esfuerzo laboral, pero no más valor por hora trabajada. La estructura productiva permanece anclada en actividades de baja complejidad y eficiencia, consolidando un equilibrio que ya agotó su margen de expansión.
4.2. Reactivación vía inversión minera y megaproyectos: expansión del capital sin derrame productivo
La mayoría de las propuestas de reactivación privilegia las inversiones de gran escala (mineras, energéticas, viales y de infraestructura física) como palanca principal de crecimiento. Aunque estos proyectos aportan al stock de capital y generan picos de expansión, su impacto en productividad total de factores ha sido históricamente acotado. La economía peruana ya transitó por períodos prolongados de inversión minera intensiva sin lograr incrementos sostenidos de sofisticación productiva.
Este enfoque reproduce el patrón del crecimiento de las últimas décadas: más capital, más puestos de trabajo, más horas de trabajo, pero crecimientos de productividad prácticamente nulos. La falta de encadenamientos productivos -desde compras locales hasta transferencia tecnológica- limita el impacto sistémico de los megaproyectos. La ampliación del capital físico se convierte en un impulso parcial que no eleva el valor agregado por hora ni la capacidad de innovación del aparato productivo.
4.3. Políticas orientadas a la productividad: una minoría conceptual sin formulación operativa
Un segmento menor del espectro político formula propuestas vinculadas a la elevación de la eficiencia: educación técnica dual, programas de digitalización empresarial, incorporación de infraestructura tecnológica, mejora regulatoria y marcos de innovación. Estas ideas se alinean con la evidencia internacional sobre crecimiento sostenible y con el diagnóstico que vincula productividad con bienestar de largo plazo.
Sin embargo, estas iniciativas carecen de elementos esenciales: financiamiento, institucionalidad de implementación, metas cuantificadas, mecanismos de seguimiento, cronogramas verificables y marcos legales coherentes con los objetivos. Sin estos componentes, las propuestas no pasan de intenciones conceptuales y no constituyen una estrategia nacional de productividad.
4.4. Resultado político: el país no tiene una estrategia integral de productividad
El balance es claro: el ciclo electoral no exhibe un proyecto articulado que permita transitar hacia un modelo basado en eficiencia, innovación y valor agregado. Las principales fuerzas políticas siguen estructurando el crecimiento sobre la acumulación de factores, sin mecanismos capaces de elevar la productividad total de factores. Esto mantiene el país dentro de un modelo extensivo que ya alcanzó su límite fisiológico y económico.
5. Conclusión: el límite del modelo extensivo y la urgencia de una agenda de productividad
La discusión sobre ampliar o restringir las jornadas laborales pierde sentido cuando no se reconoce el problema estructural que define al mercado laboral peruano. El país opera un modelo de crecimiento extensivo que depende de sumar insumos -más horas, más trabajadores, más capital extractivo- y no de generar eficiencia. Ese patrón ya agotó su margen de expansión natural: las horas superan umbrales fisiológicos, la población en edad de trabajar deja de crecer y la inversión física no induce mejoras de productividad total de factores.
En este contexto, extender la jornada no genera crecimiento sostenible. La evidencia empírica demuestra que más horas no elevaron el salario real por hora; la teoría económica muestra que la productividad marginal del trabajo cae en jornadas largas; y la calibración técnica confirma que el incremento de horas reduce el valor agregado por hora en economías de baja sofisticación productiva. El resultado más probable es estancamiento del PBI o una reducción ligera, acompañada de costos humanos y organizacionales más altos.
La verdadera restricción económica del Perú no es la falta de esfuerzo laboral, lo es la insuficiencia de valor creado por cada hora ya trabajada. Cualquier estrategia orientada a elevar el bienestar y el ingreso real requiere un viraje hacia productividad e innovación. Esto implica construir una agenda que incorpore formación técnica de calidad, infraestructura digital avanzada, procesos productivos modernizados, encadenamientos tecnológicos y una arquitectura regulatoria que incentive la formalización por mecanismos productivos.
El país no crecerá más extendiendo la jornada. Solo crecerá de manera sostenida si reorienta su estructura hacia la eficiencia, la sofisticación productiva y el incremento del valor agregado por hora trabajada.
Referencias bibliográficas
- Gustavo Yamada (2005) Horas de trabajo: determinantes y dinámica en el Perú urbano. Lima: Universidad del Pacífico / CIES.
- Nikita Céspedes, Nelson Ramírez-Rondán (2016) Productividad en el Perú: medición, determinantes e implicancias. Lima.
- Centro de Investigación Económica y Social – CIES (2019). There is no development without optimizing productivity: How to measure the productivity of the Peruvian economy. Mesa de Investigación. Lima.
- World Bank (2015). Peru: Building on Success – Boosting Productivity for Faster Growth. World Bank Group Report. Washington DC.
- Gestión (2025). Jornada de 13 horas al día como en Grecia: Los regímenes que ya tienen este modelo en Perú. 17 de octubre de 2025.
- Organización Internacional del Trabajo – OIT (2023). Seguridad y Salud en el Trabajo: Impacto de Jornadas Extensas. Ginebra.
- Instituto Nacional de Estadística e Informática – INEI (2024). Encuesta Nacional de Hogares – ENAHO. Series históricas de empleo y horas trabajadas. Lima.
ANEXO: Calibración del Modelo Griego con Parámetros Peruanos
Para aplicar el nuevo modelo de jornada laboral griega al mercado peruano usamos un modelo explícito que vincula horas trabajadas, ingreso de los hogares, productividad por hora y crecimiento del producto. Sobre esa base se simula qué ocurriría si el Perú intentara aplicar algo parecido al “modelo griego” de jornadas extendidas a toda su economía.
El marco macroeconómico: crecer por factores o por productividad
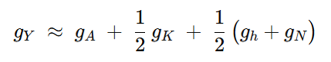
Desde el punto de vista macroeconómico, el PBI puede representarse mediante una función de producción agregada del tipo Cobb–Douglas:

Donde:
Yₜ es el Producto Bruto Interno (PBI),
Aₜ representa la productividad total de factores (PTF),
Kₜ es el acervo de capital físico,
hₜ son las horas trabajadas por trabajador,
Nₜ es el número total de trabajadores,
α es la elasticidad del PBI respecto al capital. La inversa es al trabajo.
Con un α cercano a 0,5, coherente con las estimaciones para el Perú, el crecimiento se puede descomponer así:

Donde:
gY: tasa de crecimiento del producto agregado.
gA: tasa de crecimiento de la productividad total de los factores (PTF).
gK: crecimiento del stock de capital físico.
gh: crecimiento de las horas trabajadas por trabajador.
gN: crecimiento del empleo (número de trabajadores).
En términos simples: el país puede crecer acumulando factores (más capital, más trabajadores, más horas) o haciendo más eficiente el uso de esos factores (mayor At). La evidencia histórica muestra que el Perú ha privilegiado la primera vía: desde mediados del siglo XX, el grueso del crecimiento provino de expandir capital y trabajo, mientras que la PTF aportó tasas modestas. En paralelo, las horas promedio se mantuvieron elevadas, lo que evidencia que el margen “horas” ya se encuentra tensionado.
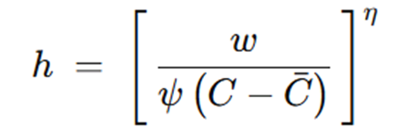
El modelo microeconómico de oferta de horas
Para entender cómo reaccionan los hogares ante cambios de salarios o políticas sobre jornadas, se utiliza una función de utilidad intertemporal donde el consumo genera bienestar y el trabajo genera desutilidad (cansancio). Un caso estándar, con preferencias tipo Stone–Geary en consumo y desutilidad convexa del trabajo, conduce a la siguiente condición óptima de oferta de horas en cada período:

Donde w es el salario real por hora, C es el consumo efectivo del hogar, C̄ es el nivel de consumo de subsistencia, ψ mide qué tan “costoso” se percibe el trabajo y η es un parámetro ligado a la elasticidad de la oferta laboral. La forma funcional captura tres hechos observables en economías como la peruana:
- Cuando el hogar está muy cerca de la subsistencia (C ≈ C̄), el denominador (C − C̄) se hace pequeño y las horas h tienden a ser altas: la supervivencia obliga a trabajar más, incluso si el salario por hora es bajo.
- Cuando el salario por hora sube, el numerador w aumenta y, para ciertos rangos de ingreso, el hogar puede responder incrementando horas (efecto sustitución) o reduciéndolas (efecto ingreso); el parámetro η permite calibrar la sensibilidad.
- Si el trabajo se vuelve “más costoso” en términos de fatiga o condiciones adversas (ψ mayor), la oferta óptima de horas se reduce, todo lo demás constante.
En el Perú, la combinación de salarios reales relativamente bajos, alta informalidad y escasa protección social genera hogares que se sitúan peligrosamente cerca del nivel de subsistencia. El modelo anticipa, por tanto, jornadas largas como respuesta defensiva, no como reflejo de alta productividad.
Calibración estilizada para el caso peruano
Sin pretender construir una base oficial nueva, es posible realizar una calibración estilizada sobre la base de la evidencia disponible para trabajadores urbanos de bajos ingresos. Tomemos los siguientes valores de referencia para un trabajador típico del 40% de menores ingresos urbanos:
| Parámetro | Símbolo | Valor aproximado | Comentario |
| Salario real por hora | w | S/ 6,0 | Jornada completa informal urbana |
| Consumo efectivo del hogar (normalizado) | C | 1,10 | 1,0 = subsistencia estricta |
| Consumo de subsistencia | C̄ | 0,55 | Aproximación a umbral de pobreza |
| Elasticidad de oferta laboral | η | 0,4 | Rango coherente con estudios para Perú |
| Costo marginal del trabajo | ψ | 0,5 | Ajustado para reproducir jornadas observadas |
Con estos parámetros, la ecuación de oferta de horas genera un valor de equilibrio cercano a 50–55 horas semanales, coherente con la evidencia de que una fracción significativa de trabajadores urbanos, formales e informales, supera las 48 horas legales. El modelo no “fuerza” el resultado: simplemente traduce en ecuaciones la lógica de un hogar que, con bajo salario y sin redes de protección, compensa su fragilidad ampliando la jornada.
El contrafactual: aplicar el “modelo griego” a toda la economía
La pregunta central es qué ocurriría si se intentara generalizar un esquema de jornadas máximas del orden de 60–65 horas para todo el mercado laboral peruano, al estilo del margen superior que la legislación griega ha abierto para algunos segmentos. En el modelo, ello equivale a imponer exógenamente un aumento de h partiendo de un equilibrio ya elevado.
Supongamos que la jornada promedio de este trabajador pasa de 53 a 65 horas semanales. El ingreso laboral semanal aumenta en:
Δ Ingreso ≈ w · (h_nuevo − h_inicial) ≈ 6 · (65 − 53) = S/ 72 semanales
Ese incremento mejora algo el consumo C, pero no altera de manera dramática la distancia respecto a C̄. En términos de la función de oferta, el cociente w / (ψ · (C − C̄)) cambia marginalmente, y el modelo sugiere que el nuevo nivel de horas “sostenible” coincide con un rango apenas superior al original (por ejemplo, 55–57 horas), y no con las 65 horas impuestas, porque la fatiga y los costos no monetarios del esfuerzo inducen ajustes vía rotación, ausentismo, informalidad encubierta o caída de la intensidad efectiva de trabajo dentro de la jornada.
| Variable | Situación base | Escenario griego |
| Horas por semana (h) | 53 | 65 (impuestas) |
| Ingreso semanal (S/) | 318 | 390 |
| Aumento de ingreso (S/) | – | 72 |
| Horas “sostenibles” tras ajuste | 53 | 55–57 |
En otras palabras, el intento de elevar la jornada por decreto genera un salto inicial de horas e ingreso, pero difícilmente se sostiene. El sistema corrige parcialmente hacia abajo por mecanismos de fatiga y deterioro de condiciones laborales.
Productividad por hora: el canal que domina el resultado
Desde la perspectiva del PBI, lo relevante más que las horas lo es la interacción entre horas y productividad por hora. Tomemos la identidad simple:
PBI = h · (VAB/h)
donde VAB/h es el valor agregado bruto por hora. En un contexto donde las jornadas ya son largas, la literatura internacional encuentra que incrementos adicionales de horas reducen la productividad por hora a través de varios canales: cansancio, errores, accidentes, rotación y menor calidad en la ejecución de tareas. Este efecto se vuelve más pronunciado en economías “informales”, con baja densidad de capital y procesos poco estandarizados, como la peruana.
Si se asume, de manera conservadora, que el aumento de 20% en las horas promedio reduce la productividad por hora en un rango de 10% a 20%, el impacto neto sobre el PBI se ubica entre neutro y claramente negativo. El país terminaría con más horas registradas, pero con menos valor creado por hora y, en el mejor de los casos, con un PBI prácticamente igual a la inicial y un costo humano y organizacional mayor.
| Componente | Variación aproximada | Comentario |
| Horas promedio (h) | +20% | De 53 a 65 horas |
| Productividad por hora (VA/h) | −10% a −20% | Fatiga, errores, rotación |
| PBI total (h · VA/h) | 0% a −4% | Escenario más probable: estancamiento o caída ligera |
El mensaje económico es directo: en el margen en que opera el mercado laboral peruano, el canal de caída de productividad por hora domina al aumento mecánico de horas. Extender jornadas es un mecanismo para profundizar un equilibrio de baja eficiencia.
Por qué Grecia no es un benchmark trasladable
El razonamiento anterior explica también por qué las discusiones que trasladan sin matices el caso griego al contexto peruano son equívocas. Grecia aplica su reforma sobre un mercado caracterizado por altos salarios por hora, elevada formalidad, negociación colectiva efectiva, fiscalización fuerte y redes de protección social extensas. En ese entorno, el margen de horas adicionales se utiliza en segmentos muy específicos, con compensación explícita y bajo un escrutinio institucional que contiene abusos.
El Perú, en cambio, ya presenta jornadas largas, baja productividad, informalidad extendida y capacidad de fiscalización limitada. Aplicar un “modelo griego” en estas condiciones no añade un margen eficiente, solo formaliza o amplifica un patrón de trabajo intensivo que ya existe y que es justamente uno de los síntomas de la debilidad productiva. La misma política que en Europa puede ser marginal y acotada se convertiría, trasladada mecánicamente a los Andes, en un mecanismo de precarización con escaso o nulo impacto positivo en el PBI.
Respuesta a la pregunta: ¿se crece más con el modelo griego?
El modelo microfundado de oferta de horas, la descomposición macroeconómica del crecimiento y la calibración estilizada para el caso peruano convergen en la misma conclusión: no, el Perú no crecería más aplicando el modelo griego de jornadas extendidas a toda la economía. Dado el punto de partida —jornadas ya largas, PTF baja, hogares cercanos a la subsistencia e instituciones débiles—, el aumento de horas produciría un esfuerzo adicional con ganancias transitorias de ingreso y una caída relevante de productividad por hora. En el mejor escenario, el PBI se mantendría prácticamente inalterado; en un escenario más realista, se deterioraría.
El problema del crecimiento peruano no es la falta de horas trabajadas, lo es la insuficiencia de valor generado por cada hora. Cualquier estrategia seria de expansión del PBI pasa por elevar la productividad total de los factores, mejorar la calidad del empleo, modernizar procesos productivos y fortalecer el capital humano. La agenda de crecimiento sostenible no debe estar concentrada en sumar horas, lo que realmente se debe buscar es transformar la forma en que el país utiliza su tiempo de trabajo.


